Вчитель математики Прокоф'єва Тетяна
вівторок, 10 травня 2022 р.
11.05.2022р
1 урок, 10-А, Алгебра, (синхронно)
Тема уроку: Правила диференціювання.
Повторіть:
Запрошую на урок за покликанням:(8.45-15)
https://meet.google.com/oda-swau-abi
Шановні учні!
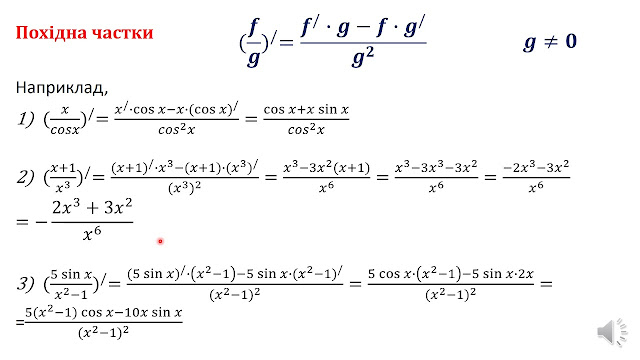
Запишіть вправи в зошит!!!
Немає коментарів:
Дописати коментар
Новіша публікація
Старіша публікація
Головна сторінка
Підписатися на:
Дописати коментарі (Atom)
Немає коментарів:
Дописати коментар