пʼятниця, 28 жовтня 2022 р.

 29 жовтня 2022р

2 урок, 7-Б, Алгебра, асинхронно

Тема уроку: Множення многочлена на многочлен.

Запишіть в зошит приклади:


Опрацюйте відеоурок і запишіть приклади відеоуроку в зошит!





29 жовтня 2022р

4 урок, 5-А, математика, асинхронно

Тема уроку: Задачі на рух.

Розглянемо задачі на рух в протилежних напрямках.

1. Пригадайте формулу відстані 


2. Розглянемо рух в протилежних напрямках.
Використовуючи пояснення на попередньому слайді, розв"яжіть задачу.

 


3.Розглянемо рух назустріч.

Розв"яжіть задачу:



 29 жовтня 2022р

3 урок, 5-Б, математика, асинхронно

Тема уроку: Розв"язування задач за допомогою рівнянь.

При розв"язуванні задач за допомогою рівнянь невідому величину позначаємо через х.

Уважно прочитайте умову задачі!   ( в електронному підручнику)

1. Запишіть зразок задачі №493.

     1) Нехай у кошику було х грб.

       х+25=72;

       х=72-25;

        х=47.

Відповідь: 47 грибів було у кошику.

2. Розв"яжіть задачі №493(2, 3) за даним зразком.

3. Запишіть розв"язання №503(1)

  Нехай х задумане  число.

(х+72)-48=179;

х+72=179+48;

х+72=227;

х=227-72;

х=155.

Відповідь: учень задумав число 155.

4. Розв"яжіть по аналогії №503(2).


 29 жовтня 2022р

1 урок, 5-А, математика, асинхронно

5 урок, 5-В, математика,асинхронно

Тема уроку: Задачі на рух.

1. Пригадаємо формулу 

Запишіть:



2. Типи задач 
3. Запишіть:


Розглянемо задачі на рух тіл в одному напрямку: з одного пункту і з різних пунктів.

4. Запишіть задачу №1.

5. Розв"яжіть самостійно по аналогії:

6. Запишіть наступну задачу:

Розв"яжіть задачу по аналогії:
    
Відстань між селами дорівнює 20 км. З цих сіл одночасно в одному напрямку вийшов пішохід зі швидкістю 5 км/год і виїхав велосипедист, який рухався позаду пішохода, зі швидкістю 12 км/год. Яка буде відстань між ними через 2 год?

 28 жовтня 2022р

2 урок, 7-Б, Алгебра, Асинхронно

Тема уроку: Спрощення виразів.

1. Запишіть №357.

(Розкриваємо дужки і зводимо подібні доданки!)

     1) 8х-2х(3х+4)=8х-6х²-8х= -6х²;

     3)  6х(4х-7)-12(2х²+1)=24х²-42х-24х²-12= -42х-12;

Користуючись зразком, розв"яжіть всі інші приклади самостійно.

2. Запишіть №359.

     1) 3х(2х-5)-8х(4х-3)=6х²-15х-32х²+24х= -26х²+9х, якщо х= -1, то

-26*(-1)²+9*(-1)= -26*1-9= -26-9= -35;

     2) 2х(14х²-х+5)+4х(2,5+3х-7х²) = 28х³-2х²+10х+10х+12х²-28х³=10х²+20х, якщо х=7,

 то 10*7²+20*7=10*49+140=490+140=630.

Розв"яжіть приклад 3 самостійно.

3. Домашнє завдання: №358, №360.

 28 жовтня 2022р

5 урок, 7-Б, Геометрія

Тема уроку: Висота, медіана і бісектриса трикутника.

Шановні учні! Повторіть матеріал попереднього уроку (блог за 26 жовтня)

Користуючись ним, виконайте практичну роботу №134, №135, №136.

https://meet.google.com/tfo-cixt-qwg

четвер, 27 жовтня 2022 р.

 28 жовтня 2022р

3-4 уроки, 11-А, Геометрія, Асинхронно

Тема уроку: Поняття про тіло обертання. Циліндр.

Шановні учні!

Законспектуйте наданий матеріал! Зробіть відповідні малюнки!

1. Поняття про тіла обертання.

2. Означення циліндра і його елементи.


3. Перерізи циліндра.


4. Користуючись підручником, запишіть розв"язання задач 1 і 2   (стр.217,218)

5. Домашнє завдання: Вивчити матеріал по блогу або п.5 підручника.

Для кращого розуміння матеріалу надаю відеоурок по темі. Перегляньте його!



середа, 26 жовтня 2022 р.

 26 жовтня 2022р

7-Б, 4 урок,Геометрія, Асинхронно

Тема уроку: Трикутник та його елементи.

Шановні учні!

Законспектуйте матеріал:










вівторок, 25 жовтня 2022 р.

 25 жовтня 2022р

2 урок, 7-Б, Алгебра, асинхронно

Тема уроку: Множення одночлена на многочлен.

1. Запишіть в зошит:


2. Запишіть зразок виконання вправ:


3. Прочитайте п.10 підручника (стр.65)

4. Розв"яжіть №355.

понеділок, 24 жовтня 2022 р.

 24 жовтня 2022р

5-6 уроки, 11-А, Алгебра, асинхронно

Тема уроку: Логарифми. Властивості логарифмів.

Шановні учні!  Опрацюйте відеоурок.

 Пояснено як розв"язувати вправи з підручника.

 Запишіть вправи в зошит!



пʼятниця, 21 жовтня 2022 р.

 22 жовтня 2022р

5 урок, 5-В, математика, Асинхронно

Тема уроку: Розв"язування рівнянь.

Повторіть як знаходити невідомі компоненти дій множення і ділення ( урок за 21 жовтня)

Розв"яжіть №487.

Домашнє завдання: №488.

Дії до рівнянь виконують в стовпчик і записують поряд.


 22 жовтня 2022р

2 урок, 5-В, математика, асинхронно

3 урок, 5-Б, математика, асинхронно

4 урок, 5-А, математика, асинхронно

Тема уроку: Розв"язування рівнянь.

1.Пригадайте правила як знайти невідомий компонент дій додавання та віднімання (див. попередній урок)

2. Розв"яжіть №481.

3. Домашнє завдання: №482.

 Пам"ятайте, що дії до рівнянь записують і виконують поряд з рівнянням.

 22 жовтня 2022р

1 зміна, 5-6 уроки, 11-А, Алгебра, (асинхронно)

Тема уроку: Логарифм числа. Властивості логарифмів.

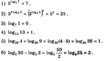
1. Запишіть опорний конспект і властивості логарифмів:



2. Запишіть приклади застосування властивостей логарифмів:
3.  Розв"яжіть №4.2 за зразком:



Пам"ятайте,що індекс , записаний нижче log-це основа логарифма; число або вираз поряд- це підлогарифмічний вираз.
 
Тобто
 у записі log₃ 27     3-основа
 логарифма,  а 27- підлогарифмічний вираз.

Домашнє завдання:

№4.3; №4.4. Опрацювати п.4 з підручника.

 21 жовтня 2022р

1 урок, 5-А, математика

Покликання на урок:(13.00-13.30)

https://meet.google.com/wsj-ycns-cnm

3 урок, 5-В, математика

Покликання на урок:(14.10-14.40)

https://meet.google.com/dhp-imgd-zcj

4 урок, 5-Б, математика

Покликання на урок:(14.50-15.20)

https://meet.google.com/tnm-sjyt-nbu

Тема уроку: Рівняння.





Виконати №479, №480(1) з електронного підручника.

Домашнє завдання: №480, 485( завершити)




 21 жовтня 2022р

3 урок,  11-А,Геометрія.(9.40-10.25)

Тема уроку: Розв"язування задач.

4 урок,( 10.40-11.25)

Тема уроку: Контрольна робота по темі "Многогранники"

Покликання на урок:(для учнів, що навчаються дистанційно)

https://meet.google.com/nqm-mvze-psh

Розв"язати контрольну роботу:


Виконану роботу надіслати на електронну адресу

matviychuk.tetyana@gmail.com



четвер, 20 жовтня 2022 р.

 20 жовтня 2022р

1 урок, 5-А, математика.

Покликання на урок:(13.00-13.30)

https://meet.google.com/ebr-qeaa-jta

2 урок, 5-В, математика

Покликання на урок:(13.35-14.05)

https://meet.google.com/bte-anjg-ewf

3 урок, 5-Б, математика

Покликання на урок:(14.10-14.40)

https://meet.google.com/ari-hfvk-iog

Тема уроку: Розв"язування вправ і задач.

Виконати №449, №451(1).

Домашнє завдання: №450, №451(2)



середа, 19 жовтня 2022 р.

 21 жовтня 2022р

5 урок, 7-Б, Геометрія

Тема уроку: Контрольна робота.

Шановні учні! До кожного завдання намалюйте малюнок і напишіть розв"язання!

Роботу оформіть на листочках!




 19 жовтня 2022р

2 урок, 5-В, математика

Покликання на урок:(13.50-14.35)

Асинхронно (була повітряна тривога)

3 урок, 5-Б, математика

Покликання на урок:(14.40-15.25)

https://meet.google.com/pxg-rerx-zon

5 урок, 5-А, математика

Покликання на урок:(16.25-17.10)

https://meet.google.com/cad-sepi-adx

Тема уроку: Числові та буквені  вирази. Формули.

Запишіть пояснення в зошит!


1. Запишіть в зошит задачу:( тільки розв"язання)


2. Розв"яжіть №442, 444(виразом)

3. Запишіть розв"язання №446:

(х-у):3, якщо х=145; у=118, то

(145-118):3=9.

4. Розв"яжіть за зразком №447(1,2). Спочатку підставляєте число, а тоді виконуєте дії в стовпчик!

5. Домашнє завдання:№443, №447(3,4) з електронного підручника.



 19 жовтня 2022р

1 урок, 5-Б, математика

Тема уроку: Розв"язування вправ і задач.

Покликання на урок:(13.00-13.45)

https://meet.google.com/byn-grnh-fpd

1. Пригадаймо матеріал, розв"язавши кросворд: (усно!)

2. Розв"язування вправ: 1 команда-дівчатка, 2 команда-хлопчики


4. Розв"яжіть задачу!( одну з будь-якого варіанту)



4. Домашнє завдання: (записати в зошит вибрану відповідь)


вівторок, 18 жовтня 2022 р.

 18 жовтня 2022р

4 урок, 5-А, математика
Покликання на урок:(15.35-16.20)

https://meet.google.com/hvk-dgyu-mfa

5 урок, 5-В, математика

Покликання на урок:(16.25-17.10)

https://meet.google.com/gpy-skzi-vfe

Тема уроку: Розв"язування вправ і задач.

1. Пригадайте:(усно)

2. Розв"яжіть зручним способом:

3. Розв"яжіть задачі:


4.Домашнє завдання: